邮箱

客服热线

400-106-0106

服务时间:8:00-24:00

产品展示

首页 > L-赖氨酸一水物

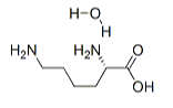
产品名称:L-赖氨酸一水物

英文名称:L-Lysine Monohydrate

CAS No.:39665-12-8

质量标准:企标

产品描述

COA在线下载:COA
别名: L-赖氨酸单水合物
分子式:C6H14N2O2·H2O
分子量:164.20
性状:无色针状结晶。熔点224-225℃(分解,在210℃变黑),极易溶于水,极微溶于醇,不溶于醚。
用途:赖氨酸是人类和动物生长所必须的氨基酸之一。

张家港市华昌药业有限公司 版权所有(C)2022 网络支持 化工网 生意宝 生意社 著作权声明 备案序号:苏ICP备10219973号-3